ID: 1345
ЛЮБЕРЦЫ-АРЗАМАССКАЯ ЖЕЛЕЗНОДОРОЖНАЯ ЛИНИЯ НА ТЕРРИТОРИИ МОСКОВСКОЙ ОБЛАСТИ РАСПИСАНИЯ ДВИЖЕНИЯ ПОЕЗДОВ
82

Расписание движения поездов с мая 1917 года (из «Официального указателя
железнодорожных и других пассажирских сообщений»).

Расписание движения поездов с 1 октября 1928 года (из «Официального указателя
железнодорожных и других пассажирских сообщений», изданного НКПС СССР).

Расписание движения поездов на лето 1957 года (из «Официального указателя пассажирских сообщений»).
Пригородные поезда не отображены.

Расписание движения пригородных поездов (график 1991/1992 гг., из сборника расписаний для пассажиров).

Расписание движения пригородных поездов (график 1991/1992 гг., из сборника расписаний для пассажиров).

Расписание движения пригородных поездов (график 1991/1992 гг., из сборника расписаний для пассажиров).

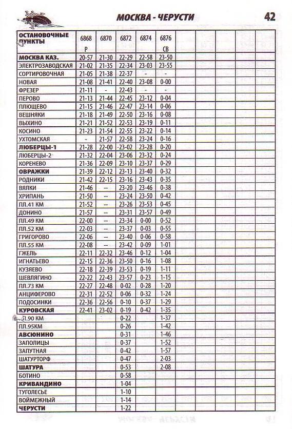
Расписание движения поездов (график 2009/2010 гг., из сборника расписаний для пассажиров).

Расписание движения поездов (график 2009/2010 гг., из сборника расписаний для пассажиров).

Расписание движения поездов (график 2009/2010 гг.,
из сборника расписаний для пассажиров).

Расписание движения поездов (график 2009/2010 гг.,
из сборника расписаний для пассажиров).

Расписание движения поездов (график 2009/2010 гг., из сборника расписаний для пассажиров).

Расписание движения поездов (график 2009/2010 гг., из сборника расписаний для пассажиров).
19.03.2013 © [ДАННЫЕ УДАЛЕНЫ]
«Люберцы-Арзамасская железнодорожная линия на территории Московской области»